https://ieeexplore.ieee.org/stamp/stamp.jsp?arnumber=10264106&tag=1
Introduction
先行のCost SensitiveのPU LearningはNegative AssumptionというPをNに多く判定してしまうバイアスを持っている。以下のように、Train Dataにおいて、Uの中でPと判別したデータの割合がClass Priorのより小さくなるとわかる。ついでに、Test Dataについても過学習している。

解決法としては、訓練して得られたUの中のPの分布と、真のPの分布をAlignmentすることである(真のPの分布をどう得るのかはさておくとして)。だが、安易に導入すると、今度はUnderfittingとなってしまう。この研究はこれらの問題を克服した、PULDA(Positive Unlabeled Learning with Label Distribution Alignment)を導入した。
そのうえで、Objectiveに正則化項を加えてAlignmentすることは、確率的勾配降下法系で最適化すると収束しない問題がある。これについて、指数移動平均をベースにしたものを提案した。これは数学的に収束すると証明されている。
本論文の貢献は以下の通り。
- PULDAという新たな手法を開発した。
- 理論的証明や上界を提供した。
- PUにおける指数移動平均ベースの確率的勾配降下法を提案した。
Related Work
この論文は 📄2022-CVPR-[Dist-PU] Positive-Unlabeled Learning from a Label Distribution Perspective の延長にある。
Class Priorがわかっている前提での手法として、以下のようなものがある。
- 📄
2014-NIPS-[Ramp]Analysis of Learning from Positive and Unlabeled Data
- 📄
2019-IJCAI-[PULD]Positive and Unlabeled Learning with Label Disambiguation
- 📄
2017-NIPS-[nnPU] Positive-Unlabeled Learning with Non-Negative Risk Estimator
- 📄
2019-ICML-[PUbN] Classification from Positive, Unlabeled and Biased Negative Data
- 📄
2020-ICML-[Self-PU]Self Boosted and Calibrated Positive-Unlabeled Training
- G. Su, W. Chen, and M. Xu, “Positive-unlabeled learning from imbalanced data,” in Proc. Int. Joint Conf. Artif. Intell., 2021, pp. 2995–3001.
Class Priorが必要だが、選択バイアスがある場合の手法はいかのようなもの、
- 📄
2019-ICLR-[PUSB]Learning from Positive and Unlabeled Data with a Selection Bias
- 📄
2019-ECML PKDD-[PWE]Beyond the Selected Completely At Random Assumption for Learning from Positive and Unlabeled Data
- 📄
2020-NIPS-[aPU]Learning from Positive and Unlabeled Data with Arbitrary Positive Shift
Class Priorの推定は以下の通り(全部はのせてない)
- 📄
2020-AAAICAI-Class Prior Estimation with Biased Positives and Unlabeled Examples
- 📄
2016-NIPS-Estimating The Class Prior And Posterior from Noisy Positives And Unlabeled Data
- 📄
2021-NIPS-[TEDn]Mixture Proportion Estimation and PU Learning: A Modern Approach
Class Priorがそもそもいらない手法
- M. Hou, B. Chaib-Draa, C. Li, and Q. Zhao, “Generative adversarial positive-unlabeled learning,” in Proc. Int. Joint Conf. Artif. Intell., 2018, pp. 2255–2261.
-
🚫
Post not found
Method
問題設定
- データはである。
- Ground Truthのラベルはであり、1がPで0がN。
- シナリオはCase Control(2 Sets)。Uデータはでサンプリングされる。
提案手法
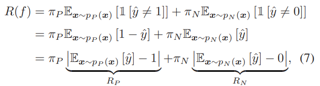
PN Learningにおいて、誤分類の確率は以下のように分類できる。

これを代替損失を使って識別器自体を訓練するとき、このように絶対値で予測分布と真のラベル分布のAlignmentはおのずとできる。
PU Learningにおいて、同様に展開する。UはClass Priorの割合のPとの割合のNによって構成されているという前提。PN Learningのように考えると、Uの中のPの割合はより多くてもすくなくても望ましくない。(は上の式を代入)

もう1つの考えとしては、以上のものとはまた少し違う。
先ほどの式を導いたについても、この値は負になってはいけないということから、以下のようなものである。

これはより厳しい整合条件だといえる。
マージンベースの学習
📄2022-CVPR-[Dist-PU] Positive-Unlabeled Learning from a Label Distribution Perspective では、普通に先ほどのAlignmentを行うだけなら、Uの予測結果はの近くに集まっていて、結果として予測できない、もっと0か1かにばらけてほしい(を使うといずれもそうなりそう)。それを防ぐため、新たなObjectiveを提案した。
Dist-PUではBinary Cross Entropyを導入していた。この論文では、ある信頼下限を導入し、たとえ分類に成功しても以下の信頼度だったら学習器にペナルティを与えるというもの。
の正負で判断するということをもとにさらに式変換すると、

「0より大きいか小さいか」の部分はPかN判断へのペナルティ。「の範囲にに収まるかどうか」は信頼度のペナルティ。
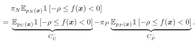
あとは、これはPNの式なので、同様にPUの式に直す。は判断へのペナルティで、既存のuPUやnnPUですでに書き換えができている。信頼下限のについては、以下のように買い換えられる。

したがって、全体の式は以下のようになる。
具体的に、指示関数のままではできないので、以下のようにSigmoid関数で指示関数らを書き換える。
への補正
一項目のについては、後者はに相当する損失である(DistPUでも同様)。
だが、以下の条件を満たすような関数に代入して、過小か過大予測しないようにするらしい。
- 連続で、負から0は単調減少、0から正は単調増加。
- 有限の入力に対しては有限な出力をする。
具体例としては、以下のようなSoftPlus関数を組み合わせたものをとしている。
これを、本来ののみならず、マージンについてのペナルティのU部分にも適用させる。
結果として、以下のような式を得て、これが今回のObjective。図らずしもの改善版のような式になっていた。
DistPUではEntropy最小化で実現していたが、ここではマージン最小化+U項への補正で実現している。
確率的勾配降下法への改良
このままの確率的勾配降下法による最適化するとき、という関数を本来のUについての項を噛ませているが、以下のように実は期待値では成り立たないという悲劇がある。

これを改善するために、指数移動平均を用いる。
にあたえる要素はではなく、今までのの移動平均とする。
移動平均自体は以下のように計算する。
